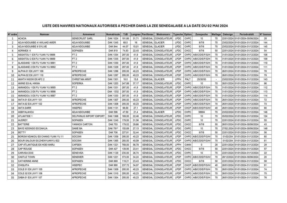
Au total, 151 navires sont autorisés à pêcher sur les eaux sénégalaises à la date du 6 mai 2024, informe la ministre des pêches, des infrastructures maritimes et portuaires. Il s’agit de 132 navires nationaux et 19 navires étrangers.
Dr. Fatou Diouf qui a publié la liste des navires autorisés à pêcher sur les eaux sénégalaises, précise que cette liste ne tient pas compte des dossiers qui sont en cours de renouvellement.
Dans l’avis de publication parvenue à Senego, elle informe que cet acte répond au besoin de transparence dans la gestion des ressources naturelles qui constituent un patrimoine national.
Voici une liste ordonnée et complète des navires autorisés à pêcher dans la ZEE sénégalaise au 2 mai 2024, comprenant chaque navire et ses détails :
Dr. Fatou Diouf qui a publié la liste des navires autorisés à pêcher sur les eaux sénégalaises, précise que cette liste ne tient pas compte des dossiers qui sont en cours de renouvellement.
Dans l’avis de publication parvenue à Senego, elle informe que cet acte répond au besoin de transparence dans la gestion des ressources naturelles qui constituent un patrimoine national.
Voici une liste ordonnée et complète des navires autorisés à pêcher dans la ZEE sénégalaise au 2 mai 2024, comprenant chaque navire et ses détails :
- ACACIA – Armement : Senecrijst SARL, Numéro d’immatricule : DAK 1024, TJB : 191.66, Longnav : 31.71, Pavillon : SENEGAL, Mode de conservation : CONGELATEUR, Type de pêche : LPDC, Option : CHPC, Zone de pêche : DAK, Maillage : 6/76, Période de validité : 01/01/2024-30/06/2024, N° licence : 70.
- ADJA NDOUMBE 4/AWLAAD AMER – Armement : Adja Ndoumbe, Numéro d’immatricule : DAK 1345, Mode de conservation : CONGELATEUR, Type de pêche : LPDC, Option : CHPC, Zone de pêche : DAK, Période de validité : 01/01/2024-31/12/2024, N° licence : 70.
- ADJA NDOUMBE SYLVIE – Armement : Adrimex, Numéro d’immatricule : DAK 844, Mode de conservation : CONGELATEUR, Type de pêche : LPDC, Option : CHPC, Zone de pêche : DAK, Période de validité : 01/01/2024-31/12/2024, N° licence : 70.
- SENEGAL GLACIER – Numéro d’immatricule : DAK 819, TJB : 74.93, Longnav : 22.45, Pavillon : SENEGAL, Mode de conservation : CONGELATEUR, Type de pêche : LPDC, Option : CHCC 6/76, Période de validité : 01/01/2024-31/12/2024, N° licence : 50.
- AISSATOU EX FU YUAN YU 9888 – Type de pêche : FT 2, Numéro d’immatricule : DAK 1334, TJB : 297.00, Longnav : 41.9, Pavillon : SENEGAL, Mode de conservation : CONGELATEUR, Type de pêche : LPDC, Option : CHPC, Période de validité : 01/01/2024-31/12/2024, N° licence : 70.
- AISSATOU 2 EX FU YUAN YU 9809 – Type de pêche : FT 2, Numéro d’immatricule : DAK 1335, TJB : 297.00, Longnav : 41.9, Pavillon : SENEGAL, Mode de conservation : CONGELATEUR, Type de pêche : LPDC, Option : CHPC, Période de validité : 01/01/2024-31/12/2024, N° licence : 70.
- ALASSANE 1 EX FU YUAN YU 9881 – Type de pêche : FT 2, Numéro d’immatricule : DAK 1330, TJB : 297.00, Longnav : 41.9, Pavillon : SENEGAL, Mode de conservation : CONGELATEUR, Type de pêche : LPDC, Option : CHPC, Période de validité : 01/01/2024-31/12/2024, N° licence : 70.
- ALASSANE 2 EX FU YUAN YU 9882 – Type de pêche : FT 2, Numéro d’immatricule : DAK 1329, TJB : 297.00, Longnav : 41.9, Pavillon : SENEGAL, Mode de conservation : CONGELATEUR, Type de pêche : LPDC, Option : CHPC, Période de validité : 01/01/2024-31/12/2024, N° licence : 70.
- ALPHA 01 EX LNYY 109 – Armement : Afropeche, Numéro d’immatricule : DAK 1286, TJB : 295.00, Longnav : 40.23, Pavillon : SENEGAL, Mode de conservation : CONGELATEUR, Type de pêche : LPDP, Option : CHPO A/B/C/D/E/F/G/H, Période de validité : 01/01/2024-31/12/2024, N° licence : 70.
- ALPHA 12 EX LNYY 110 – Armement : Afropeche, Numéro d’immatricule : DAK 1287, TJB : 295.00, Longnav : 40.23, Pavillon : SENEGAL, Mode de conservation : CONGELATEUR, Type de pêche : LPDP, Option : CHPO A/B/C/D/E/F/G/H, Période de validité : 01/01/2024-31/12/2024, N° licence : 70.
- AMATH NGOM EX AFC 2 – Armement : Christian Armt, Numéro d’immatricule : DAK 1301, TJB : 16.0, Longnav : SENEGAL, Mode de conservation : CONGELATEUR, Type de pêche : LPDP, Option : CHPO A/B/C/D/E/F/G/H, Période de validité : 01/01/2024-31/12/2024, N° licence : 70.
- AMINE EX AL HIKMA – Armement : Soperka, Numéro d’immatricule : DAK 1203, TJB : 247.88, Longnav : 37.17, Pavillon : SENEGAL, Mode de conservation : CONGELATEUR, Type de pêche : LPDP, Option : CHPO A/B/C/D/E/F/G/H, Période de validité : 01/01/2024-31/12/2024, N° licence : 70.
- AMMADOU 1 EX FU YUAN YU 9885 – Type de pêche : FT 2, Numéro d’immatricule : DAK 1331, TJB : 297.00, Longnav : 41.9, Pavillon : SENEGAL, Mode de conservation : CONGELATEUR, Type de pêche : LPDP, Option : CHPO A/B/C/D/E/F/G/H, Période de validité : 01/01/2024-31/12/2024, N° licence : 70.
- AMMADOU 2 EX FU YUAN YU 9886 – Type de pêche : FT 2, Numéro d’immatricule : DAK 1332, TJB : 297.00, Longnav : 41.9, Pavillon : SENEGAL, Mode de conservation : CONGELATEUR, Type de pêche : LPDP, Option : CHPO A/B/C/D/E/F/G/H, Période de validité : 01/01/2024-31/12/2024, N° licence : 70.
- AMMADOU 3 EX FU YUAN YU 9587 – Type de pêche : FT 2, Numéro d’immatricule : DAK 1333, TJB : 297.00, Longnav : 41.9, Pavillon : SENEGAL, Mode de conservation : CONGELATEUR, Type de pêche : LPDP, Option : CHPO A/B/C/D/E/F/G/H, Période de validité : 01/01/2024-31/12/2024, N° licence : 70.
- ANTA 01 EXLNYY 101 – Armement : Afropeche, Numéro d’immatricule : DAK 1307, TJB : 295.00, Longnav : 40.23, Pavillon : SENEGAL, Mode de conservation : CONGELATEUR, Type de pêche : LPOP, Option : CHPO A/B/C/D/E/F/G/H, Période de validité : 01/01/2024-31/12/2024, N° licence : 70.
- ANTA 02 EXLNYY 102 – Armement : Afropeche, Numéro d’immatricule : DAK 1308, TJB : 295.00, Longnav : 40.23, Pavillon : SENEGAL, Mode de conservation : CONGELATEUR, Type de pêche : LPOP, Option : CHPO A/B/C/D/E/F/G/H, Période de validité : 01/01/2024-31/12/2024, N° licence : 70.
- ANTA SARR – Armement : Hispec, Numéro d’immatricule : DAK 1131, TJB : 98.00, Longnav : 40.23, Pavillon : SENEGAL, Mode de conservation : CONGELATEUR, Type de pêche : LPOP, Option : CHPO A/B/C/D/E/F/G/H, Période de validité : 01/01/2024-31/12/2024, N° licence : 70.
- ASBIYALAHOU – Armement : Adja Ndoumbe, Numéro d’immatricule : DAK 596, TJB : 47.50, Longnav : 40.23, Pavillon : SENEGAL, Mode de conservation : CONGELATEUR, Type de pêche : LPDC, Option : CHPC, Zone de pêche : 10, Période de validité : 26/01/2024-01/01/2024-31/12/2024, N° licence : 70.
- ATLANTIDE 1 – Armement : Delphinus Import Export, Numéro d’immatricule : DAK 1388, TJB : 189.00, Longnav : 22.46, Pavillon : SENEGAL, Mode de conservation : CONGELATEUR, Type de pêche : LPDC, Option : CHPC, Zone de pêche : 10, Période de validité : 23/02/2024-01/01/2024-31/12/2024, N° licence : 70.
- AUDREY – Armement : SOPASEN, Numéro d’immatricule : DAK 1240, TJB : 179.00, Longnav : 31.56, Pavillon : SENEGAL, Mode de conservation : CONGELATEUR, Type de pêche : LPDC, Option : CHPC, Zone de pêche : 10, Période de validité : 05/02/2024-01/01/2024-31/12/2024, N° licence : 70.
- BATTERIE – Armement : Yannick Carton, Numéro d’immatricule : DAK 753, TJB : 179.02, Longnav : 29.60, Pavillon : SENEGAL, Mode de conservation : CONGELATEUR, Type de pêche : LPDC, Option : CHOC, Zone de pêche : 6/7/6, Période de validité : 26/01/2024-01/01/2024-30/06/2024, N° licence : 50.
- BAYE NDONGO EX DAHLIA – Armement : Dame Ba, Numéro d’immatricule : DAK 781, TJB : 155.69, Longnav : 27.13, Pavillon : SENEGAL, Mode de conservation : CONGELATEUR, Type de pêche : LPDC, Option : CHPC, Période de validité : 27/02.2024-01/01/2024-30/06/2024, N° licence : 70.
- BETTY – Armement : SOPASEN, Mode de conservation : CONGELATEUR, Type de pêche : LPDC, Option : CHOC, Numéro d’immatricule : 6/7/6, Période de validité : 22/01/2024-01/01/2024-31/12/2024, N° licence : 50.
- BOROM NDAKOU EX CHANG YUAN YU 11 – Armement : SOCOM, Numéro d’immatricule : DAK 1359, TJB : 290.00, Longnav : 40.23, Pavillon : SENEGAL, Mode de conservation : CONGELATEUR, Type de pêche : LPDP, Option : CHPO A/B/C/D/E/F/G/H, Période de validité : 01/02/204-01/01/2024-31/12/2024, N° licence : 70.
- BOUR SALOUM EX ZHENYUANYU 822 – Armement : SOCOM, Numéro d’immatricule : DAK 1365, TJB : 280.00, Longnav : 40.00, Pavillon : SENEGAL, Mode de conservation : CONGELATEUR, Type de pêche : LPOP, Option : CHPO A/B/C/D/E/F/G/H, Période de validité : 01/02/204-01/01/2024-31/12/2024, N° licence : 70.
- CAP ATLANTIQUE EX HOEI MARU – Armement : CAPSEN, Numéro d’immatricule : DAK 1321, TJB : 768.00, Longnav : 56.78, Pavillon : SENEGAL, Mode de conservation : CONGELATEUR, Type de pêche : LPPH, Option : CANN, Période de validité : 31/01/2024-01/01/2024-31/12/2024, N° licence : 70.
- CAP ROUGE – Armement : SOPASEN, Numéro d’immatricule : DAK-427, TJB : 139.95, Longnav : 23.41, Pavillon : SENEGAL, Mode de conservation : CONGELATEUR, Type de pêche : LPDC, Option : CHOC, Période de validité : 31/01/2024-01/01/2024-31/12/2024, N° licence : 70.
- CARVISA DOS – Armement : SENEVISA, Numéro d’immatricule : DAK 1120, TJB : 235.00, Longnav : 26.74, Pavillon : SENEGAL, Mode de conservation : CONGELATEUR, Type de pêche : LPDC, Option : CHPC, Période de validité : 31/01/2024-01/01/2024-31/12/2024, N° licence : 70.
- CASTLE TOWN – Armement : SENEMER, Numéro d’immatricule : non spécifié, Pavillon : SENEGAL, Mode de conservation : CONGELATEUR, Type de pêche : LPOP, Option : CHPO A/B/C/D/E/F/G/H, Période de validité : 26/01/2024-01/01/2024-31/12/2024, N° licence : 70.
- CATHERINE ANNE – Armement : SOPASEN, Numéro d’immatricule : non spécifié, Pavillon : SENEGAL, Mode de conservation : CONGELATEUR, Type de pêche : LPOP, Option : CHPO A/B/C/D/E/F/G/H, Période de validité : 26/01/2024-01/01/2024-31/12/2024, N° licence : 70.
- CHIQUITA – Armement : HISEPEC, Numéro d’immatricule : non spécifié, Pavillon : SENEGAL, Mode de conservation : CONGELATEUR, Type de pêche : LPOP, Option : CHPO A/B/C/D/E/F/G/H, Période de validité : 26/01/2024-01/01/2024-31/12/2024, N° licence : 70.
- COLE 01 EXLNYY 105 – Armement : Afropeche, Numéro d’immatricule : DAK 1304, TJB : 295.00, Longnav : 40.23, Pavillon : SENEGAL, Mode de conservation : CONGELATEUR, Type de pêche : LPOP, Option : CHPO A/B/C/D/E/F/G/H, Période de validité : 26/01/2024-01/01/2024-31/12/2024, N° licence : 70.
- COLE 02 EX LNYY 106 – Armement : Afropeche, Numéro d’immatricule : DAK 1310, TJB : 295.00, Longnav : 40.23, Pavillon : SENEGAL, Mode de conservation : CONGELATEUR, Type de pêche : LPDP, Option : CHPO A/B/C/D/E/F/G/H, Période de validité : 26/01/2024-01/01/2024-31/12/2024, N° licence : 70.
- DABA 01 EXLNYY 107 – Armement : Afropeche, Numéro d’immatricule : DAK 1309, TJB : 295.00, Longnav : 40.23, Pavillon : SENEGAL, Mode de conservation : CONGELATEUR, Type de pêche : LPOP, Option : CHPO A/B/C/D/E/F/G/H, Période de validité : 26/01/2024-01/01/2024-31/12/2024, N° licence : 70.
- DABA 02 EX LNYY 108 – Armement : Afropeche, Numéro d’immatricule : DAK 1221, TJB : 373.00, Longnav : 34.24, Pavillon : SENEGAL, Mode de conservation : CONGELATEUR, Type de pêche : LPDP, Option : CHPO A/B/C/D/E/F/G/H, Période de validité : 28/12/2024-01/01/2024-30/06/2024, N° licence : 70.
- DAHRA DJOLOF EX LU QING YUAN YU 050 – Armement : non spécifié, Numéro d’immatricule : non spécifié, Pavillon : SENEGAL, Mode de conservation : CONGELATEUR, Type de pêche : LPOP, Option : CHPO A/B/C/D/E/F/G/H, Période de validité : 05/02/2024-01/01/2024-31/12/2024, N° licence : 70.
- DAMSO 1 EX FU YUAN YU 9890 – Type de pêche : FT 2, Numéro d’immatricule : DAK 1358, TJB : 295.00, Longnav : 41.09, Pavillon : SENEGAL, Mode de conservation : CONGELATEUR, Type de pêche : LPDP, Option : CHPO A/B/C/D/E/F/G/H, Période de validité : 01/02/204-01/01/2024-31/12/2024, N° licence : 70.
- DAMSO 2 EX ZHENYUANYU 807 – Type de pêche : FT 2, Numéro d’immatricule : DAK 1361, TJB : 280.00, Longnav : 40.39, Pavillon : SENEGAL, Mode de conservation : CONGELATEUR, Type de pêche : LPDP, Option : CHPO A/B/C/D/E/F/G/H, Période de validité : 01/02/204-01/01/2024-31/12/2024, N° licence : 70.
- ELODIE EX, AISSATOU – Armement : Sangomar Fishing, Numéro d’immatricule : DAK 1305, TJB : 295.00, Longnav : 40.23, Pavillon : SENEGAL, Mode de conservation : CONGELATEUR, Type de pêche : LPDP, Option : CHPO A/B/C/D/E/F/G/H, Période de validité : 01/02/204-01/01/2024-31/12/2024, N° licence : 70.
- FADA 1 – Armement : Sangomar Fishing, Numéro d’immatricule : DAK 1373, TJB : 488.00, Longnav : 42.93, Pavillon : SENEGAL, Mode de conservation : CONGELATEUR, Type de pêche : LPDP, Option : CHPO A/B/C/D/E/F/G/H, Période de validité : 05/02/2024-01/01/2024-31/12/2024, N° licence : 70.
- FADA 2 – Armement : Delphinus, Numéro d’immatricule : DAK 1312, TJB : 298.00, Longnav : 38, Pavillon : SENEGAL, Mode de conservation : CONGELATEUR, Type de pêche : LPDP, Option : CHPO A/B/C/D/E/F/G/H, Période de validité : 05/02/2024-01/01/2024-31/12/2024, N° licence : 70.
- FADA 5 – Armement : SAMS, Numéro d’immatricule : DAK 1381, TJB : 280.00, Longnav : 40.39, Pavillon : SENEGAL, Mode de conservation : CONGELATEUR, Type de pêche : LPDP, Option : CHPO A/B/C/D/E/F/G/H, Période de validité : 05/02/2024-01/01/2024-31/12/2024, N° licence : 70.
- FATIMA – Armement : SENEVISA, Numéro d’immatricule : DAK 1126, TJB : 107.21, Longnav : 24.36, Pavillon : SENEGAL, Mode de conservation : CONGELATEUR, Type de pêche : LPDC, Option : CHPC, Période de validité : 23/02/2024-01/01/2024-31/12/2024, N° licence : 70.
- FAYAKO – Armement : SOPASEN, Numéro d’immatricule : DAK 1315, TJB : 298.00, Pavillon : SENEGAL, Mode de conservation : CONGELATEUR, Type de pêche : LPDP, Option : CHPO A/B/C/D/E/F/G/H, Période de validité : 23/02/2024-01/01/2024-31/12/2024, N° licence : 70.
- GFB 1 – Armement : Delphinus, Numéro d’immatricule : DAK 1317, TJB : 197.00, Pavillon : SENEGAL, Mode de conservation : CONGELATEUR, Type de pêche : LPDC, Option : CHPC, Période de validité : 22/01/2024-01/01/2024-30/06/2024, N° licence : 70.
- GHANHAI 15335 – Armement : Global Sea Food, Numéro d’immatricule : DAK 1122, TJB : 158.87, Longnav : 29, Pavillon : SENEGAL, Mode de conservation : CONGELATEUR, Type de pêche : LPDP, Option : CHPO A/B/C/D/E/F/G/H, Période de validité : 05/02/2024-01/01/2024-31/12/2024, N° licence : 70.
- GOBER CINCO – Armement : Gober Senegal, Numéro d’immatricule : DAK 1237, TJB : 1349.00, Longnav : 60.3, Pavillon : SENEGAL, Mode de conservation : CONGELATEUR, Type de pêche : LPDP, Option : CHCP A/B/C/D/E/F/G/H, Période de validité : 23/02/2024-01/01/2024-17/11/2024, N° licence : 70.
- GRANADA – Armement : CAPSEN, Numéro d’immatricule : DAK 555, TJB : 122.14, Longnav : 23.61, Pavillon : SENEGAL, Mode de conservation : CONGELATEUR, Type de pêche : LPDC, Option : CHCC 6/7/6, Période de validité : 26/01/2024-01/01/2024-30/06/2024, N° licence : 70.
- GUEREO – Armement : SOPASEN, Numéro d’immatricule : DAK 764, TJB : 292.76, Longnav : 41.25, Pavillon : SENEGAL, Mode de conservation : CONGELATEUR, Type de pêche : LPDC, Option : CHPC, Période de validité : 05/02/2024-01/01/2024-31/12/2024, N° licence : 70.
- HELENE – Armement : SOPASEN, Numéro d’immatricule : DAK 1182, TJB : 180.00, Longnav : 36.54, Pavillon : SENEGAL, Mode de conservation : CONGELATEUR, Type de pêche : LPDP, Option : CHCP A/B/C/D/E/F/G/H, Période de validité : 23/02/2024-01/01/2024-31/12/2024, N° licence : 70.
- HISPASEN V EX SOROYA II N 873/NDB – Armement : HISPASEN, Numéro d’immatricule : DAK 1381, TJB : 280.00, Longnav : 40.39, Pavillon : SENEGAL, Mode de conservation : CONGELATEUR, Type de pêche : LPDP, Option : CHPO A/B/C/D/E/F/G/H, Période de validité : 05/02/2024-01/01/2024-31/12/2024, N° licence : 70.
- ILE AUX FEES – Armement : Yannick Carton, Numéro d’immatricule : DAK 754, TJB : 193.22, Longnav : 31.54, Pavillon : SENEGAL, Mode de conservation : CONGELATEUR, Type de pêche : LPDC, Option : CHCC 6/7/6, Période de validité : 26/01/2024-01/01/2024-30/06/2024, N° licence : 50.
- ILE AUX MIMOSAS – Armement : Ile Aux Oiseaux, Numéro d’immatricule : DAK 667, TJB : 190.05, Longnav : 26.79, Pavillon : SENEGAL, Mode de conservation : CONGELATEUR, Type de pêche : LPDC, Option : CHCC 6/7/6, Période de validité : 26/01/2024-01/01/2024-30/06/2024, N° licence : 50.
- ILE DE CARABANE – Armement : SOPASEN, Numéro d’immatricule : DAK 661, TJB : 115.94, Longnav : 25.52, Pavillon : SENEGAL, Mode de conservation : CONGELATEUR, Type de pêche : LPDC, Option : CHCC 6/7/6, Période de validité : 22/01/2024-01/01/2024-31/12/2024, N° licence : 50.
- ILE SANTIAGO – Armement : SOPASEN, Numéro d’immatricule : DAK 668, TJB : 115.94, Longnav : 25.52, Pavillon : SENEGAL, Mode de conservation : CONGELATEUR, Type de pêche : LPDC, Option : CHCC 6/7/6, Période de validité : 22/01/2024-01/01/2024-31/12/2024, N° licence : 50.
- ISA EX INDOU 3 – Armement : SENECRUST SARL, Numéro d’immatricule : DAK 699, TJB : 111.36, Longnav : 24, Pavillon : SENEGAL, Mode de conservation : CONGELATEUR, Type de pêche : LPDC, Option : CHCC, Période de validité : 22/01/2024-01/01/2024-30/06/2024, N° licence : 70.
- ITTI 2 – Armement : Maritalia, Numéro d’immatricule : DAK 929, TJB : 349.58, Longnav : 42.4, Pavillon : SENEGAL, Mode de conservation : CONGELATEUR, Type de pêche : LPDC, Option : CHPC, Période de validité : 22/01/2024-01/01/2024-30/06/2024, N° licence : 70.
- JEANNE HELENE EX ANGE DES MERS – Armement : SENECRUST SARL, Numéro d’immatricule : DAK 992, TJB : 160.41, Longnav : 32.4, Pavillon : SENEGAL, Mode de conservation : CONGELATEUR, Type de pêche : LPDC, Option : CHPC, Période de validité : 26/02/2024-01/01/2024-31/12/2024, N° licence : 50.
- KANBAL 3 – Armement : SOPERKA, Numéro d’immatricule : DAK 1115, TJB : 248.58, Longnav : 34.66, Pavillon : SENEGAL, Mode de conservation : CONGELATEUR, Type de pêche : LPDP, Option : CHCP A/B/C/D/E/F/G/H, Période de validité : 26/01/2024-01/01/2024-31/12/2024, N° licence : 70.
- KANBAL II – Armement : SOPERKA, Numéro d’immatricule : DAK 1108, TJB : 160.26, Longnav : 28.69, Pavillon : SENEGAL, Mode de conservation : CONGELATEUR, Type de pêche : LPDC, Option : CHPC, Période de validité : 26/01/2024-01/01/2024-31/12/2024, N° licence : 70.
- ΚΕΝΤΙΑ – Armement : SOPASEN, Numéro d’immatricule : DAK 1096, TJB : 171.86, Longnav : 30, Pavillon : SENEGAL, Mode de conservation : CONGELATEUR, Type de pêche : LPDP, Option : CHPO A/B/C/D/E/F/G/H, Période de validité : 26/01/2024-01/01/2024-31/12/2024, N° licence : 70.
- KINEE – Armement : Sunumar Fishing, Numéro d’immatricule : DAK 1384, TJB : 156.30, Longnav : 30.6, Pavillon : SENEGAL, Mode de conservation : CONGELATEUR, Type de pêche : LPDC, Option : CHPC, Période de validité : 26/01/2024-01/01/2024-31/12/2024, N° licence : 70.
- LAGHEME I – Armement : SOPERKA, Numéro d’immatricule : DAK 1130, TJB : 247.60, Pavillon : SENEGAL, Mode de conservation : CONGELATEUR, Type de pêche : LPDC, Option : CHPC, Période de validité : 26/01/2024-01/01/2024-31/12/2024, N° licence : 70.
- LAURENCE MARIE – Armement : SOPASEN, Numéro d’immatricule : DAK 670, TJB : 119.21, Longnav : 23.43, Pavillon : SENEGAL, Mode de conservation : CONGELATEUR, Type de pêche : LPDC, Option : CHPC, Période de validité : 26/01/2024-01/01/2024-31/12/2024, N° licence : 50.
- LE CAYOR EX GUOJIN 908 – Armement : Sangomar Fishing, Numéro d’immatricule : DAK 1372, TJB : 292.00, Longnav : 38.31, Pavillon : SENEGAL, Mode de conservation : CONGELATEUR, Type de pêche : LPDC, Option : CHPC, Période de validité : 22/01/2024-01/01/2024-31/12/2024, N° licence : 70.
- LEBOU GUI EX GUOJIN 901 – Armement : Sangomar Fishing, Numéro d’immatricule : DAK 1371, TJB : 292.00, Longnav : 38.31, Pavillon : SENEGAL, Mode de conservation : CONGELATEUR, Type de pêche : LPDC, Option : CHPC, Période de validité : 22/01/2024-01/01/2024-31/12/2024, N° licence : 70.
- LOUIS SAUGER – Armement : Al Makaru Al Asm, Numéro d’immatricule : DAK 740, TJB : 282.00, Longnav : 36.7, Pavillon : SENEGAL, Mode de conservation : CONGELATEUR, Type de pêche : LPDC, Option : CHPC, Période de validité : 21/03/2024-01/01/2024-31/12/2024, N° licence : 50.
- LUCKY 919 EX XING YUNG 919 – Armement : EBN, Numéro d’immatricule : DAK 1351, TJB : 259.00, Longnav : 40.8, Pavillon : SENEGAL, Mode de conservation : CONGELATEUR, Type de pêche : LPDP, Option : CHPO A/B/C/D/E/F/G/H, Période de validité : 05/02/2024-01/01/2024-31/12/2024, N° licence : 70.
- LUCKY 920 EX XING YUNG 920 – Armement : EBN, Numéro d’immatricule : DAK 1352, TJB : 259.00, Longnav : 40.8, Pavillon : SENEGAL, Mode de conservation : CONGELATEUR, Type de pêche : LPDP, Option : CHPO A/B/C/D/E/F/G/H, Période de validité : 31/01/2024-01/01/2024-31/12/2024, N° licence : 70.
- LUCKY 927 – Armement : EBN, Numéro d’immatricule : DAK 1318, TJB : 295.00, Longnav : 47.57, Pavillon : SENEGAL, Mode de conservation : CONGELATEUR, Type de pêche : LPDP, Option : CHPO A/B/C/D/E/F/G/H, Période de validité : 31/01/2024-01/01/2024-31/12/2024, N° licence : 70.
- LUCKY 928 – Armement : EBN, Numéro d’immatricule : DAK 1319, TJB : 295.00, Longnav : 47.57, Pavillon : SENEGAL, Mode de conservation : CONGELATEUR, Type de pêche : LPDP, Option : CHPO A/B/C/D/E/F/G/H, Période de validité : 31/01/2024-01/01/2024-31/12/2024, N° licence : 70.
- LUCKY 966 – Armement : EBN, Numéro d’immatricule : DAK 1369, TJB : 259.00, Longnav : 40.8, Pavillon : SENEGAL, Mode de conservation : CONGELATEUR, Type de pêche : LPDP, Option : CHPO A/B/C/D/E/F/G/H, Période de validité : 31/01/2024-01/01/2024-31/12/2024, N° licence : 70.
- LUCKY 977 – Armement : EBN, Numéro d’immatricule : DAK 1370, TJB : 259.00, Longnav : 40.8, Pavillon : SENEGAL, Mode de conservation : CONGELATEUR, Type de pêche : LPDP, Option : CHPO A/B/C/D/E/F/G/H, Période de validité : 31/01/2024-01/01/2024-31/12/2024, N° licence : 70.
- MAME FARBA EX ZHENYUANYU 823 – Armement : SOCOMI, Numéro d’immatricule : DAK 1366, TJB : 280.00, Longnav : 40.09, Pavillon : SENEGAL, Mode de conservation : CONGELATEUR, Type de pêche : LPDP, Option : CHPO A/B/C/D/E/F/G/H, Période de validité : 01/02/204-01/01/2024-31/12/2024, N° licence : 70.
- MARIKA – Armement : Yannick Carton, Numéro d’immatricule : DAK 741, TJB : 150.78, Longnav : 30, Pavillon : SENEGAL, Mode de conservation : CONGELATEUR, Type de pêche : LPDP, Option : CHPO A/B/C/D/E/F/G/H/, Période de validité : 01/02/204-01/01/2024-31/12/2024, N° licence : 70.
- MASEOUD 1 – Armement : Al Makaru Al Asm, Numéro d’immatricule : DAK 1280, TJB : 179.00, Longnav : 37, Pavillon : SENEGAL, Mode de conservation : CONGELATEUR, Type de pêche : LPDC, Option : CHPC, Période de validité : 26/01/2024-01/01/2024-30/06/2024, N° licence : 70.
- MASEOUD 2 – Armement : Al Makaru Al Asm, Numéro d’immatricule : DAK 1281, TJB : 179.00, Longnav : 37, Pavillon : SENEGAL, Mode de conservation : CONGELATEUR, Type de pêche : LPDC, Option : CHPC, Période de validité : 26/01/2024-01/01/2024-30/06/2024, N° licence : 70.
- MASEOUD 3 – Armement : Al Makaru Al Asm, Numéro d’immatricule : DAK 1282, TJB : 179.00, Longnav : 37, Pavillon : SENEGAL, Mode de conservation : CONGELATEUR, Type de pêche : LPDC, Option : CHPC, Période de validité : 22/01/2024-01/01/2024-30/06/2024, N° licence : 70.
- MASEOUD 4 – Armement : Al Makaru Al Asm, Numéro d’immatricule : DAK 1283, TJB : 179.00, Longnav : 37, Pavillon : SENEGAL, Mode de conservation : CONGELATEUR, Type de pêche : LPDC, Option : CHPC, Période de validité : 22/01/2024-01/01/2024-30/06/2024, N° licence : 70.
- MATAR 1 – Armement : SENCAP SARL, Numéro d’immatricule : DAK 836, TJB : 79.10, Longnav : 24, Pavillon : SENEGAL, Mode de conservation : GLACIER, Type de pêche : LPPC, Option : SENN, Période de validité : 3/7/3-01/01/2024-31/12/2024, N° licence : 70.
- MAYLEE – Armement : PELIKANO, Numéro d’immatricule : DAK 1262, TJB : 69.00, Longnav : 27.15, Pavillon : SENEGAL, Mode de conservation : GLACIER, Type de pêche : LPPC, Option : SENN, Période de validité : 3/7/3-01/01/2024-31/12/2024, N° licence : 70.
- MAYSA KHADY NDIAYE EX ZHENYUANYU 825 – Armement : SOCOMI, Numéro d’immatricule : DAK 1367, TJB : 280.00, Longnav : 40.09, Pavillon : SENEGAL, Mode de conservation : CONGELATEUR, Type de pêche : LPDP, Option : CHPO A/B/C/D/E/F/G/H, Période de validité : 01/02/204-01/01/2024-31/12/2024, N° licence : 70.
- MBAGNE FABOUR 1 EX CHANG YUAN YU 12 – Armement : SOCOMI, Numéro d’immatricule : DAK 1360, TJB : 290.00, Longnav : 40.23, Pavillon : SENEGAL, Mode de conservation : CONGELATEUR, Type de pêche : LPDP, Option : CHPO A/B/C/D/E/F/G/H, Période de validité : 01/02/204-01/01/2024-31/12/2024, N° licence : 70.
- MBAGNE FABOUR 2 EX ZHENYUANYU 811 – Armement : SOCOMI, Numéro d’immatricule : DAK 1362, TJB : 280.00, Longnav : 40.23, Pavillon : SENEGAL, Mode de conservation : CONGELATEUR, Type de pêche : LPDP, Option : CHPO A/B/C/D/E/F/G/H, Période de validité : 01/02/204-01/01/2024-31/12/2024, N° licence : 70.
- MOHAMED EX CIDADE DE PORTIMAO – Armement : HISPASEN, Numéro d’immatricule : DAK 1306, TJB : 196.00, Longnav : 40.39, Pavillon : SENEGAL, Mode de conservation : CONGELATEUR, Type de pêche : LPDP, Option : CHPO A/B/C/D/E/F/G/H, Période de validité : 01/02/204-01/01/2024-31/12/2024, N° licence : 70.
- MOURIDE NDIGUEL – Armement : SENEPROMER, Numéro d’immatricule : DAK 1125, TJB : 29.86, Longnav : 40.39, Pavillon : SENEGAL, Mode de conservation : CONGELATEUR, Type de pêche : LPDP, Option : CHPO A/B/C/D/E/F/G/H, Période de validité : 19/03/2024-01/01/2024-30/06/2024, N° licence : 70.
- MOURIDE SADIKH – Armement : SENEPROMER, Numéro d’immatricule : non spécifié, Pavillon : SENEGAL, Mode de conservation : CONGELATEUR, Type de pêche : LPDP, Option : CHPO A/B/C/D/E/F/G/H, Période de validité : 31/01/2024-01/01/2024-31/12/2024, N° licence : 70.
- ΝΑΤΑ – Armement : non spécifié, Numéro d’immatricule : non spécifié, Pavillon : SENEGAL, Mode de conservation : CONGELATEUR, Type de pêche : LPDP, Option : CHPO A/B/C/D/E/F/G/H, Période de validité : 01/02/204-01/01/2024-31/12/2024, N° licence : 70.
- ΝΙΑΜ ΝΙΟKHO – Armement : SENEVISA, Numéro d’immatricule : DAK 1137, TJB : 136.80, Longnav : 25.2, Pavillon : SENEGAL, Mode de conservation : CONGELATEUR, Type de pêche : LPDP, Option : CHPO A/B/C/D/E/F/G/H, Période de validité : 15/03/204-01/01/2024-31/12/2024, N° licence : 70.
- du numéro 100 :
- PAPMAR – Armement : SAMS, Numéro d’immatricule : DAK 630, TJB : 157.91, Longnav : 27.13, Pavillon : SENEGAL, Mode de conservation : CONGELATEUR, Type de pêche : LPDC, Option : CHPC, Période de validité : 22/01/2024-01/01/2024-31/12/2024, N° licence : 70.
- PÈRE YANNICK – Armement : Yannick Carton, Numéro d’immatricule : DAK 1252, TJB : 130.05, Longnav : 27.5, Pavillon : SENEGAL, Mode de conservation : CONGELATEUR, Type de pêche : LPDC, Option : CHPC, Période de validité : 22/01/2024-01/01/2024-31/12/2024, N° licence : 70.
- PLAYA DE DAKAR EX PLAYA DE HUELVA – Armement : HISEPEC, Numéro d’immatricule : DAK 1212, TJB : 148.76, Longnav : 32.9, Pavillon : SENEGAL, Mode de conservation : CONGELATEUR, Type de pêche : LPDP, Option : CHCP A/B/C/D/E/F/G/H, Période de validité : 28/12/2024-01/01/2024-30/06/2024, N° licence : 70.
- PONT SAINT LOUIS – Armement : SOPERKA, Numéro d’immatricule : DAK-1226, TJB : 107.00, Longnav : 77.8, Pavillon : SENEGAL, Mode de conservation : CONGELATEUR, Type de pêche : LPPH, Option : SENN, Période de validité : 22/01/2024-01/01/2024-31/12/2024, N° licence : 70.
- NIASSENE 817 EX SHENG HANG 817 – Armement : EBN, Numéro d’immatricule : DAK 1091, TJB : 29.47, Longnav : 16, Pavillon : SENEGAL, Mode de conservation : CONGELATEUR, Type de pêche : LPDP, Option : CHPO A/B/C/D/E/F/G/H, Période de validité : 01/02/204-01/01/2024-31/12/2024, N° licence : 70.
- NIASSENE 818 EX SHENG HANG 818 – Armement : EBN, Numéro d’immatricule : DAK 1133, TJB : 173.06, Longnav : 32, Pavillon : SENEGAL, Mode de conservation : CONGELATEUR, Type de pêche : LPDP, Option : CHPO A/B/C/D/E/F/G/H, Période de validité : 01/02/204-01/01/2024-31/12/2024, N° licence : 70.
- NUEVO NOSO LAR – Armement : SENEVISA, Numéro d’immatricule : DAK 1076, TJB : 317.00, Longnav : 38.1, Pavillon : SENEGAL, Mode de conservation : CONGELATEUR, Type de pêche : LPDP, Option : CHPO A/B/C/D/E/F/G/H, Période de validité : 05/02/2024-01/01/2024-31/12/2024, N° licence : 70.
- NUOVO EURIPIDE – Armement : Maritalia, Numéro d’immatricule : DAK 1343, TJB : 295.00, Longnav : 40.23, Pavillon : SENEGAL, Mode de conservation : CONGELATEUR, Type de pêche : LPDP, Option : CHPO A/B/C/D/E/F/G/H, Période de validité : 22/01/2024-01/01/2024-31/12/2024, N° licence : 70.
- OCEAN PESCA II – Armement : Oceanpesca, Numéro d’immatricule : DAK 1114, TJB : 198.43, Longnav : 31.39, Pavillon : SENEGAL, Mode de conservation : CONGELATEUR, Type de pêche : LPDP, Option : CHPO A/B/C/D/E/F/G/H, Période de validité : 05/02/2024-01/01/2024-31/12/2024, N° licence : 70.
- ONUDAK 1 EX ISLA SALTES 1 – Armement : Gober Senegal, Numéro d’immatricule : DAK 1021, TJB : 149.32, Longnav : 27, Pavillon : SENEGAL, Mode de conservation : CONGELATEUR, Type de pêche : LPDC, Option : CHCC 6/7/6, Période de validité : 01/02/204-01/01/2024-31/12/2024, N° licence : 70.
- ONUDAK 2 EX ISLA SALTES 2 – Armement : Gober Senegal, Numéro d’immatricule : DAK 1025, TJB : 149.32, Longnav : 27, Pavillon : SENEGAL, Mode de conservation : CONGELATEUR, Type de pêche : LPDC, Option : CHCC 6/7/6, Période de validité : 01/02/204-01/01/2024-31/12/2024, N° licence : 70.
- ORIENTAL KIM – Armement : CAPSEN, Numéro d’immatricule : DAK 1288, TJB : 1725.00, Longnav : 68.82, Pavillon : SENEGAL, Mode de conservation : CONGELATEUR, Type de pêche : LPDC, Option : CHCC 6/7/6, Période de validité : 01/02/204-01/01/2024-31/12/2024, N
- PA ALASSANE EX MARS – Armement : Demba Sow, Numéro d’immatricule : DAK 519, TJB : 29.40, Longnav : 13, Pavillon : SENEGAL, Mode de conservation : GLACIER, Type de pêche : LPDC, Option : CHPC 6/7/6, Période de validité : 22/01/2024-01/01/2024-31/12/2024, N° licence : 70.
- PAPE MOUSSA – Armement : Yaye Beye Gassama, Numéro d’immatricule : DAK 1088, TJB : 46.00, Longnav : 18, Pavillon : SENEGAL, Mode de conservation : GLACIER, Type de pêche : LPDC, Option : CHPC 6/7/6, Période de validité : 05/02/2024-01/01/2024-31/12/2024, N° licence : 70.
- numéro 100 :
- PAPMAR – Armement : SAMS, Numéro d’immatricule : DAK 630, TJB : 157.91, Longnav : 27.13, Pavillon : SENEGAL, Mode de conservation : CONGELATEUR, Type de pêche : LPDC, Option : CHPC, Période de validité : 22/01/2024-01/01/2024-31/12/2024, N° licence : 70.
- PÈRE YANNICK – Armement : Yannick Carton, Numéro d’immatricule : DAK 1252, TJB : 130.05, Longnav : 27.5, Pavillon : SENEGAL, Mode de conservation : CONGELATEUR, Type de pêche : LPDC, Option : CHPC, Période de validité : 22/01/2024-01/01/2024-31/12/2024, N° licence : 70.
- PLAYA DE DAKAR EX PLAYA DE HUELVA – Armement : HISEPEC, Numéro d’immatricule : DAK 1212, TJB : 148.76, Longnav : 32.9, Pavillon : SENEGAL, Mode de conservation : CONGELATEUR, Type de pêche : LPDP, Option : CHCP A/B/C/D/E/F/G/H, Période de validité : 28/12/2024-01/01/2024-30/06/2024, N° licence : 70.
- PONT SAINT LOUIS – Armement : SOPERKA, Numéro d’immatricule : DAK-1226, TJB : 107.00, Longnav : 77.8, Pavillon : SENEGAL, Mode de conservation : CONGELATEUR, Type de pêche : LPPH, Option : SENN, Période de validité : 22/01/2024-01/01/2024-31/12/2024, N° licence : 70.












